招1014人,茂名、电白…这些单位招人!全编制!大专可报!
电白新鲜事
1https://mp.weixin.qq.com/s/bLEo4IL5FbnT2X8AbZxrOw
电白区招聘教师
◀
根据《广东省事业单位公开招聘人员办法》(广东省人民政府令第139号)的规定,2019年茂名市电白区教育系统事业单位面向社会公开招聘教师215名,其中小学教师135名,幼儿园教师80名。
招聘对象
1、具有中华人民共和国国籍,拥护中华人民共和国宪法;
2、遵纪守法,具有良好的品行;
3.、普通高校全日制专科及以上学历;
4、具备招聘岗位所要求的资格条件(岗位具体要求详见岗位需求表),报名所需各类证件等资料须于2019年8月31日前取得,未有教师资格证的报考人员必须持教育部考试中心颁发的《中小学教师资格考试合格证明》且合格证明在有效期内,并必须在2019年8月31日前取得相应的教师资格证)。
5、年龄为18-30周岁,年龄计算时间截止至报名之日;
6、具有正常履行职责的身体条件和符合岗位要求的工作能力;
7、法律、法规规定的其他条件。
招聘岗位及条件

报名相关事宜
1、报名时间:2019年6月20日8:30至22日17:30
2、报名方式:采用网上报名方式,应聘者请登录2019年事业单位公开招聘教师报名系统
“http://61.146.233.115:801/”,按提示进行报名。
3、资格初审:应聘者在网上报名后,报名系统将对考生的报名信息进行资格初审。
4、打印准考证:时间为2019年6月27日8:30--6月28日17:30,请通过资格初审的考生自行在网上打印准考证。
5、按广东省相关规定符合考试加分政策的应聘人员,于2019年6月24日工作时间(上午8:30—12:00,下午14:30—17:30)到茂名市电白区教育局人事股(茂名市电白区水东镇海滨二路110号四楼)提供政策加分相关证明材料、身份证原件和复印件,逾期未提供材料的视为放弃加分。符合《关于引导和鼓励高校毕业生到农村基层从事支教、支农、支医和扶贫工作的实施意见》规定,提供由省级相关主管部门颁发的《广东省“三支一扶”合格证书》,经审查合格后,笔试成绩加10分;符合《广东省选聘高校毕业生到村任职工作实施意见》规定,提供由省级相关主管部门颁发的《广东省高校毕业生到农村任职工作证书》,经审查合格后,笔试成绩加10分。
薪酬待遇
获聘人员为事业编制人员,试用期满后经考核合格的,按规定办理聘用手续,按所聘岗位执行茂名市电白区规定的薪酬待遇,由区财政全额核拨。
咨询电话
0668-5120703(电白区教育局)
0668-5885502(电白区人社局)
2
化州市招聘教师
◀
根据《广东省事业单位公开招聘人员办法》(省政府令第139号)的规定,化州市2019年公开招聘中小学(含中职、特殊教育)及幼儿园教师292名。
招聘范围
1、全日制普通高校应往届师范专业毕业生。
2、具有研究生学历或硕士学位以上的应往届毕业生。
3、参加化州市“三支一扶”支教服务满一学年的非师范专业毕业生。
4、外县(市、区)在编在岗公办教师。
招聘岗位及条件


报名相关事宜
1、报名时间:2019年6月20日8:30至22日17:30
2、报名方式:采用网上报名方式,应聘者请登录2019年事业单位公开招聘教师报名系统
“http://61.146.233.115:801/”,按提示进行报名。
3、资格初审:应聘者在网上报名后,报名系统将对考生的报名信息进行资格初审。
4、打印准考证:时间为2019年6月27日8:30--6月28日17:30,请通过资格初审的考生自行在网上打印准考证。
5、根据《关于引导和鼓励高校毕业生到农村基层从事支教、支农、支医和扶贫工作的实施意见》、《广东省选聘高校毕业生到村任职工作实施意见》有关规定,符合考试加分政策的应聘人员,报名时注明服务的基层项目名称和服务的起始和结束时间,通过网上报名资格审核通过后,于 6月24日到化州市人力资源和社会保障局事业单位人事管理股(化州市河西街道罗江南路11号)提供相关证明材料(广东省“三支一扶”期满考核合格证书及广东省高校毕业生到农村任职证书)原件和复印件,受理时间1天。逾期未提供材料的视为放弃加分。经审查符合加分条件的服务基层的考生,笔试成绩按规定加10分。
薪酬待遇
1、被聘用的人员为事业编制人员,按规定办理聘用手续,执行化州市规定的事业单位工作人员薪酬待遇(含住房改革补贴)。此外,根据《化州市引进高层次人才和急需紧缺人才实施意见》(见附件)的有关规定,具备硕士研究生学历或硕士学位以上的毕业生,经化州市人才引进工作领导小组认定被列为高层次人才和急需紧缺人才管理的,可按规定享受安家费、住房和购房补贴等。
2、聘用人员自聘用之日起至少在聘用学校服务满5学年,期间不能申请辞职和调动(含不能报考其他机关事业单位)。聘用到城区学校(含幼儿园)任教的教师,须在自聘用之日起3年内按规定安排到农村学校支教1年。
咨询电话
1、化州市人力资源和社会保障局事业单位人事管理股(电话:0668-7359522 , 地址:化州市河西街道罗江南路11号);
2、化州市教育局人事股(电话:0668-7228618,地址:化州市城区北岸207国道旁)。
3
化州市选聘城区小学教师
◀
为推进中小学教师“县管校聘”管理改革,进一步均衡化州各学校教师资源配置,根据全市教育教学工作需要,化州市教育局决定从化州市在编在岗教师中选聘城区小学教师169名。
选聘方式
采用笔试方式选聘。
选聘范围
化州市教育系统在编在岗教师。
选聘资格条件
1、遵守宪法和法律;
2、具备正常履行职责的身体条件;
3、具备本科以上学历,专业对口;
4、2014年9月前被化州市录用且具备小学以上教师资格证在编在岗教师,报考职位专业须对应本人教师资格证的学科专业。
选聘岗位

报名相关事宜
1、报名时间:2019年6月19日8:30至6月21日17:30
2、报名方式:网上报名,报名时请登录化州市2019年公开选聘城区小学教师网上报名系统
(http://61.146.233.115:801/),按提示进行报名。
3、应聘者通过网上报名后,请于2019年6月23日(8:30-12:00,14:30-17:30)到化州市职业技术学校(化州市下郭梅石公路南侧叶塘岭)进行资格审核。参加资格审核必须提供以下材料:报名表(登录网上报名系统打印)、居民身份证、毕业证(学位证)、教师资格证原件及复印件、计划生育证明。
聘用
被选聘人员必须在聘用的学校服务5年以上,期间不能申请调动和报考其他机关事业单位。被聘用人员按报考职位的岗位条件及有关规定,确定岗位工资等级,核定工资。
4
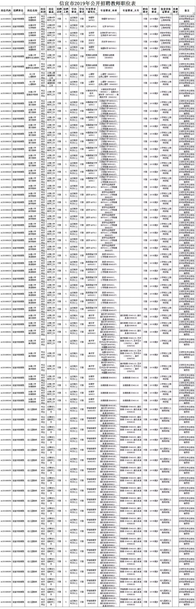
信宜市招聘教师
◀
根据信宜市中小学校(幼儿园)用人需求,按照《广东省事业单位公开招聘人员办法》(广东省人民政府令第139号)等有关文件规定,信宜市教育局下属中小学校(幼儿园)公开招聘338名教师。
招聘基础条件
1、具有中华人民共和国国籍,拥护中华人民共和国宪法。
2、遵纪守法,具有良好的品行。
3、具有招聘岗位所要求的资格条件,报名所需各类证件资料等须于2019年8月31日前取得,未按时提交相关证明材料的取消拟聘资格。
4、年龄18-35周岁(即1984年6月5日至2001年6月4日期间出生)。
5、具有正常履行职责的身体条件和符合岗位要求的工作能力。
招聘岗位

报名事宜
1、报名时间:2019年6月20日9:00至6月22日17:00
2、报名方式:采用网上报名方式,应聘者请登录2019年事业单位公开招聘教师报名系统“http://61.146.233.115:801/”,按提示进行报名。
3、资格初审:应聘者在网上报名后,由工作人员对考生的报名信息进行资格初审,请考生在报名结束后3日内登录报名系统查询资格初审结果。
4、打印准考证:时间为6月27-28日,请通过资格初审的考生自行登陆报名系统打印笔试准考证。
薪酬待遇
被录用人员为事业单位编制人员。试用期满后经考核合格的,按规定办理聘用手续,按所聘岗位执行信宜市规定的薪酬待遇。
咨询电话
1、信宜市教育局人事股(联系电话:0668-8814674,联系地址:信宜市金湖西路市教育局三楼)。
2、信宜市人力资源和保障局事业单位人事管理股(联系电话:0668-8815211,联系地址:信宜市新尚路60号三楼)。来源:茂名共青团
电白新鲜事
1https://mp.weixin.qq.com/s/bLEo4IL5FbnT2X8AbZxrOw
电白区招聘教师
◀
根据《广东省事业单位公开招聘人员办法》(广东省人民政府令第139号)的规定,2019年茂名市电白区教育系统事业单位面向社会公开招聘教师215名,其中小学教师135名,幼儿园教师80名。
招聘对象
1、具有中华人民共和国国籍,拥护中华人民共和国宪法;
2、遵纪守法,具有良好的品行;
3.、普通高校全日制专科及以上学历;
4、具备招聘岗位所要求的资格条件(岗位具体要求详见岗位需求表),报名所需各类证件等资料须于2019年8月31日前取得,未有教师资格证的报考人员必须持教育部考试中心颁发的《中小学教师资格考试合格证明》且合格证明在有效期内,并必须在2019年8月31日前取得相应的教师资格证)。
5、年龄为18-30周岁,年龄计算时间截止至报名之日;
6、具有正常履行职责的身体条件和符合岗位要求的工作能力;
7、法律、法规规定的其他条件。
招聘岗位及条件

报名相关事宜
1、报名时间:2019年6月20日8:30至22日17:30
2、报名方式:采用网上报名方式,应聘者请登录2019年事业单位公开招聘教师报名系统
“http://61.146.233.115:801/”,按提示进行报名。
3、资格初审:应聘者在网上报名后,报名系统将对考生的报名信息进行资格初审。
4、打印准考证:时间为2019年6月27日8:30--6月28日17:30,请通过资格初审的考生自行在网上打印准考证。
5、按广东省相关规定符合考试加分政策的应聘人员,于2019年6月24日工作时间(上午8:30—12:00,下午14:30—17:30)到茂名市电白区教育局人事股(茂名市电白区水东镇海滨二路110号四楼)提供政策加分相关证明材料、身份证原件和复印件,逾期未提供材料的视为放弃加分。符合《关于引导和鼓励高校毕业生到农村基层从事支教、支农、支医和扶贫工作的实施意见》规定,提供由省级相关主管部门颁发的《广东省“三支一扶”合格证书》,经审查合格后,笔试成绩加10分;符合《广东省选聘高校毕业生到村任职工作实施意见》规定,提供由省级相关主管部门颁发的《广东省高校毕业生到农村任职工作证书》,经审查合格后,笔试成绩加10分。
薪酬待遇
获聘人员为事业编制人员,试用期满后经考核合格的,按规定办理聘用手续,按所聘岗位执行茂名市电白区规定的薪酬待遇,由区财政全额核拨。
咨询电话
0668-5120703(电白区教育局)
0668-5885502(电白区人社局)
2
化州市招聘教师
◀
根据《广东省事业单位公开招聘人员办法》(省政府令第139号)的规定,化州市2019年公开招聘中小学(含中职、特殊教育)及幼儿园教师292名。
招聘范围
1、全日制普通高校应往届师范专业毕业生。
2、具有研究生学历或硕士学位以上的应往届毕业生。
3、参加化州市“三支一扶”支教服务满一学年的非师范专业毕业生。
4、外县(市、区)在编在岗公办教师。
招聘岗位及条件


报名相关事宜
1、报名时间:2019年6月20日8:30至22日17:30
2、报名方式:采用网上报名方式,应聘者请登录2019年事业单位公开招聘教师报名系统
“http://61.146.233.115:801/”,按提示进行报名。
3、资格初审:应聘者在网上报名后,报名系统将对考生的报名信息进行资格初审。
4、打印准考证:时间为2019年6月27日8:30--6月28日17:30,请通过资格初审的考生自行在网上打印准考证。
5、根据《关于引导和鼓励高校毕业生到农村基层从事支教、支农、支医和扶贫工作的实施意见》、《广东省选聘高校毕业生到村任职工作实施意见》有关规定,符合考试加分政策的应聘人员,报名时注明服务的基层项目名称和服务的起始和结束时间,通过网上报名资格审核通过后,于 6月24日到化州市人力资源和社会保障局事业单位人事管理股(化州市河西街道罗江南路11号)提供相关证明材料(广东省“三支一扶”期满考核合格证书及广东省高校毕业生到农村任职证书)原件和复印件,受理时间1天。逾期未提供材料的视为放弃加分。经审查符合加分条件的服务基层的考生,笔试成绩按规定加10分。
薪酬待遇
1、被聘用的人员为事业编制人员,按规定办理聘用手续,执行化州市规定的事业单位工作人员薪酬待遇(含住房改革补贴)。此外,根据《化州市引进高层次人才和急需紧缺人才实施意见》(见附件)的有关规定,具备硕士研究生学历或硕士学位以上的毕业生,经化州市人才引进工作领导小组认定被列为高层次人才和急需紧缺人才管理的,可按规定享受安家费、住房和购房补贴等。
2、聘用人员自聘用之日起至少在聘用学校服务满5学年,期间不能申请辞职和调动(含不能报考其他机关事业单位)。聘用到城区学校(含幼儿园)任教的教师,须在自聘用之日起3年内按规定安排到农村学校支教1年。
咨询电话
1、化州市人力资源和社会保障局事业单位人事管理股(电话:0668-7359522 , 地址:化州市河西街道罗江南路11号);
2、化州市教育局人事股(电话:0668-7228618,地址:化州市城区北岸207国道旁)。
3
化州市选聘城区小学教师
◀
为推进中小学教师“县管校聘”管理改革,进一步均衡化州各学校教师资源配置,根据全市教育教学工作需要,化州市教育局决定从化州市在编在岗教师中选聘城区小学教师169名。
选聘方式
采用笔试方式选聘。
选聘范围
化州市教育系统在编在岗教师。
选聘资格条件
1、遵守宪法和法律;
2、具备正常履行职责的身体条件;
3、具备本科以上学历,专业对口;
4、2014年9月前被化州市录用且具备小学以上教师资格证在编在岗教师,报考职位专业须对应本人教师资格证的学科专业。
选聘岗位

报名相关事宜
1、报名时间:2019年6月19日8:30至6月21日17:30
2、报名方式:网上报名,报名时请登录化州市2019年公开选聘城区小学教师网上报名系统
(http://61.146.233.115:801/),按提示进行报名。
3、应聘者通过网上报名后,请于2019年6月23日(8:30-12:00,14:30-17:30)到化州市职业技术学校(化州市下郭梅石公路南侧叶塘岭)进行资格审核。参加资格审核必须提供以下材料:报名表(登录网上报名系统打印)、居民身份证、毕业证(学位证)、教师资格证原件及复印件、计划生育证明。
聘用
被选聘人员必须在聘用的学校服务5年以上,期间不能申请调动和报考其他机关事业单位。被聘用人员按报考职位的岗位条件及有关规定,确定岗位工资等级,核定工资。
4
信宜市招聘教师
◀
根据信宜市中小学校(幼儿园)用人需求,按照《广东省事业单位公开招聘人员办法》(广东省人民政府令第139号)等有关文件规定,信宜市教育局下属中小学校(幼儿园)公开招聘338名教师。
招聘基础条件
1、具有中华人民共和国国籍,拥护中华人民共和国宪法。
2、遵纪守法,具有良好的品行。
3、具有招聘岗位所要求的资格条件,报名所需各类证件资料等须于2019年8月31日前取得,未按时提交相关证明材料的取消拟聘资格。
4、年龄18-35周岁(即1984年6月5日至2001年6月4日期间出生)。
5、具有正常履行职责的身体条件和符合岗位要求的工作能力。
招聘岗位

报名事宜
1、报名时间:2019年6月20日9:00至6月22日17:00
2、报名方式:采用网上报名方式,应聘者请登录2019年事业单位公开招聘教师报名系统“http://61.146.233.115:801/”,按提示进行报名。
3、资格初审:应聘者在网上报名后,由工作人员对考生的报名信息进行资格初审,请考生在报名结束后3日内登录报名系统查询资格初审结果。
4、打印准考证:时间为6月27-28日,请通过资格初审的考生自行登陆报名系统打印笔试准考证。
薪酬待遇
被录用人员为事业单位编制人员。试用期满后经考核合格的,按规定办理聘用手续,按所聘岗位执行信宜市规定的薪酬待遇。
咨询电话
1、信宜市教育局人事股(联系电话:0668-8814674,联系地址:信宜市金湖西路市教育局三楼)。
2、信宜市人力资源和保障局事业单位人事管理股(联系电话:0668-8815211,联系地址:信宜市新尚路60号三楼)。来源:茂名共青团
最后编辑: